| Aller à la page... |
[Wiki][POGNAX] Coronavirus/Covid-19, ici c'est le sujet mondial
| Suivre Répondre |
|
|
Partager | Rechercher |
|
|
Tiens, une analyse de Science Based Medecine de l'article de l'équipe de Raoult.
Le décorticage est intéressant et surtout indique que, comme on pouvait s'y attendre cette étude à plus de trou que du gruyère... C'est pénible déjà en temps normal mais maintenant ne pas faire d'études robustes est criminel. Citation :
|
|
|
|
|
|
Citation :
Sinon il ne semble pas qu'on se dirige vers un renforcement du confinement qui : http://www.leparisien.fr/politique/e...20-8286030.php |
|
|
|
|
#543148
Invité
|
Message supprimé par son auteur.
|
|
|
|
| #543148 |
| Caniveau Royal |
| Voir le profil public |
| Trouver plus de messages par Caniveau Royal |
|
Alpha & Oméga
|
1M/vie c'est l'ordre de grandeur de l'arbitrage dans les sociétés occidentales, en effet.
|
|
|
|
| Assurancetourix |
| Voir le profil public |
| Trouver plus de messages par Assurancetourix |
|
|
Citation :
![]() D'ailleurs une des maîtresses de l'école où je travaille a été détectée positive au virus, et un autre instituteur se sent vraiment mal, école finalement fermée après avoir bataillé avec la mairie pendant 1 semaine. Mais si j'ai chopé le virus j'en veux pas mal à la mairie. |
|
|
|
|
|
Citation :
Citation :
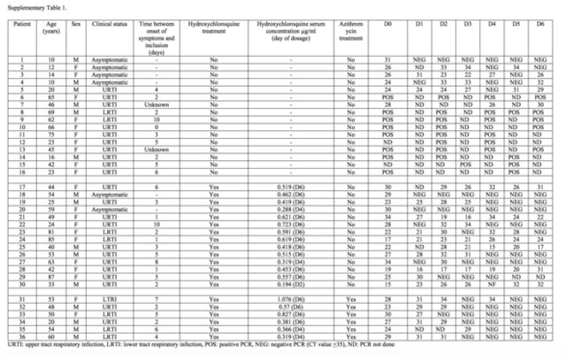
Ci dessous, il ya le tableau des résultats (disponibles dans l'article de médiapart https://blogs.mediapart.fr/olivierbelli/blog/220320/le-pr-raoult-et-la-chloroquine-les-failles) ; NB; vu que Raoult fournit les mesures d'abosrption/transparence du spectro, plus la charge virale est élevé, plus le chiffre constaté est bas, si D>35, alors pas PCR négative. En regardant le tableau des données ci dessous, on peut penser que le combo azythromycine+chloroquine semble supprimer la charge virale au bout de 5 jours. Mais qu'est-ce qu'on fait de cette info? On a les symptômes possibles à l'entrée (asymptomatiques, Infection respiratoire haute, infection respiratoire basse) mais ils sont sont mal répartis dans les groupes. Et l'info des symptômes n'est pas disponibles à la sortie. Donc finalement, j'ai l'impression qu'avec les données, on peut donner un combo chloroquine+azythromycine au patient Covid + et avec une infection respiratoire, pour qu'ils soient moins contagieux. Mais pas de traitement avant exposition (prophylaxie), pour les covid + asymptomatiques, ni pour soigner les Covid sérieux.
|
|
|
| Zangdar MortPartout |
| Voir le profil public |
| Trouver plus de messages par Zangdar MortPartout |
|
|
Citation :
Il adopte la posture du celui qui dénonce et qui attend des résultats en donnant des injonctions au personnel politique, mais sans prendre la mesure ni de ce qui est réellement fait, ni de la complexité des équilibres à respecter. Et ceci n'est pas à la hauteur d'une personne intelligente comme il l'est. Par exemple dans la vidéo il dit (13'23") "on ne peut pas raisonnablement tout faire pour détruire l'hôpital et les services publics et s'étonner qu'ils fonctionnent moins bien". C'est quand même une assertion qui mérite d'être nuancée et qui ne reflète pas du tout les efforts consentis en France pour les hôpitaux. En 2012, le budget alloué aux hôpitaux est de 72 milliards d'euros. En 2013, le budget alloué aux hôpitaux est de 73,5 milliards d'euros. En 2014, le budget alloué aux hôpitaux est de 75,2 milliards d'euros. En 2015, le budget alloué aux hôpitaux est de 76,7 milliards d'euros. En 2016, le budget alloué aux hôpitaux est de 78,5 milliards d'euros. En 2017, le budget alloué aux hôpitaux est de 79,2 milliards d'euros. En 2018, le budget alloué aux hôpitaux est de 80,2 milliards d'euros. En 2019, le budget alloué aux hôpitaux est de 82 milliards d'euros. En 7 ans, le budget alloué aux hôpitaux a donc augmenté de 13,9%. Par conséquent on voit bien que le problème est compliqué, qu'il y a des efforts financiers, mais que manifestement ça ne suffit pas. Et je crois que c'est bien avec ce genre de poncif ras-des-pâquerettes qu'Aurélien Barrau démontre qu'il sort parfois un peu trop largement de son périmètre de compétences. Sources pour le budget des hôpitaux de 2012 à 2019 : https://drees.solidarites-sante.gouv.../fiche22-4.pdf https://drees.solidarites-sante.gouv...df/cns2019.pdf https://www.ars.sante.fr/budget-des-...uros-pour-2019 |
|
|
|
| Suivre Répondre |
Connectés sur ce fil14 connectés (0 membre et 14 invités)
Afficher la liste détaillée des connectés
|
. Tant qu'ils peuvent vendre des jours hommes, t'inquiete qu'ils vont le faire. Au mieux tu fais à l'ARS, mais pour avoir tenter la procédure, ils ne feront rien non plus. Bref, c'est une problématique purement EPHADique dont la situation actuelle ne change finalement pas tant de chose que cela (d'après ta descriptions).


